Informazione tecnica HSE / 25 ° anno
/ Documenti disponibili:
45.332
/ Documenti scaricati: 33.937.599
/ Documenti scaricati: 33.937.599

ID 24965 | 22.11.2025 / Documento completo allegato
CEI 78-25 / 2025
Valutazione del rischio da arco elettrico (Arc Flash): metodo di calcolo dell’energia dell’arco, dell’energia incidente, delle distanze di sicurezza e scelta della classe dei dispositivi di protezione individuale (DPI)
Arc flash risk assessment: method for calculating arc energy, incident energy, Arc Flash boundary and selection of personal protective equipment (PPE) class
_______
Il Documento, estratto dalla CEI 78-25, Rapporto Tecnico nella 1a edizione pubblicata ad Agosto 2025, illustra la valutazione del rischio di arco elettrico prendendo in considerazione:
- la tensione del sistema Vn
- la corrente di cortocircuito presunta Ikb‒la distanza di lavoro DW-AF
- il tempo di esposizione ta (tempo di apertura della protezione delle protezioni al cortocircuito o dei sistemi di mitigazione dell'arco)
La valutazione del rischio si traduce pertanto nel calcolo della energia incidente (Ei) dovuta all’Arc Flash e alla quale un lavoratore è potenzialmente esposto effettuando delle attività su apparecchiature in tensione, o in prossimità di esse, e alla Distanza Limite d’arco entro la quale chiunque si trovi, anche se non direttamente coinvolto nell’attività di lavoro, è soggetto al rischio da Arc Flash.
Nel caso di lavori elettrici con rischio Arc Flash, la Distanza Limite d’arco (Dc) si trova in molti casi nel volume di pericolo delimitato dalla DA9 (CEI 11-27).
In particolare si illustrano i metodi:
1. Calcolo energia incidente in bassa tensione (fino a 1 kV in a.c.) – Metodo semplificato
G. Parise e P.A. Scarpino - IEEE Transactions on Industry Applications, vol. 57, no 5, September/October 2021 “A Basic Assessment of Arc Flash in Low Voltage AC”
2. Metodo di Ralph H. LEE per valori di tensione oltre 1 kV fino a 72 kV in c.a.
Ralph H. LEE - NFPA-70E (Annex D)
(Vedasi anche DGUV Information 203-077:2021)
NB. Nel Documento non sono analizzati, al momento, i pericoli di Archi Elettrici nei sistemi alimentati in corrente continua (da Cap. 13), previsione integrazione del presente documento.
Premessa
Durante l’esecuzione dei lavori elettrici, oltre ai rischi convenzionali, sono presenti i pericoli derivanti dall’energia elettrica come l’elettrocuzione e l’esposizione ad arco elettrico.
In una corretta gestione del rischio è buona norma mettere in atto tutte le azioni preventive al fine di eliminare il rischio e, quando ciò non risulta possibile, utilizzare idonei Dispositivi di Protezione Individuali (DPI).
In questo rapporto tecnico si vogliono evidenziare i pericoli da esposizione in caso di evento di arco elettrico, fornendo suggerimenti sulla gestione del rischio e basandosi su un approccio in 4 fasi:
1) Valutazione del rischio iniziale;
2) Azioni per mitigare i rischi;
3) Valutazione del rischio residuo;
4) Scelta degli idonei Dispositivi di Protezione Individuale (DPI).
L’obiettivo iniziale è valutare le condizioni di pericolo esistenti in modo da individuare le azioni da intraprendere per ridurre (quando possibile) il rischio da arco elettrico; successivamente a tali azioni di mitigazione è possibile valutare le condizioni di rischio residuo rispetto alle quali è possibile proteggere le persone, individuando il corretto DPI utilizzato da chi esegue i lavori elettrici e in generale da chi potenzialmente si può trovare esposto a un evento di arco elettrico. La scelta dell’idoneo DPI può essere fatta in funzione della prestazione termica del DPI stesso derivante dal calcolo dell’energia incidente dovuta al fenomeno. La valutazione del rischio di Arc Flash consente di definire la categoria di rischio, in funzione della quale si possono attuare le eventuali mitigazioni necessarie secondo le tecniche suggerite nei successivi paragrafi.
Nei nuovi impianti elettrici o nell’ampliamento e/o trasformazione degli stessi la valutazione del rischio può essere eseguita dal progettista dell’impianto.
NOTA il D.Lgs 81/08 art.80 al comma 1 prevede anche come obblighi del datore di lavoro, la valutazione del rischio da archi elettrici
Le persone che lavorano in prossimità di impianti elettrici sono esposte ai pericoli causati dagli archi elettrici. Gli archi elettrici sono un evento raro. Tuttavia, è richiesta una protezione affidabile, in quanto non si può escludere che essi si possano verificare, a seguito di operazioni durante il lavoro. Gli archi elettrici non sono solo il risultato di un cortocircuito, ma anche dalla separazione di parti in tensione senza che siano state implementate misure particolari (linee, connettori per cavo, interruttori, fusibili, ecc.). La pulizia delle parti attive, il corretto serraggio dei morsetti, la caduta di attrezzi o parti metalliche su parti attive e le sovratensioni, possono innescare archi elettrici. Una corretta manutenzione programmata e periodica, una maggiore segregazione delle parti attive all’interno di quadri elettrici e apparecchiature e macchine è una forma di mitigazione del rischio.
1 Scopo e Campo di applicazione
Questo Rapporto Tecnico si propone di descrivere le metodologie per la valutazione del rischio da arco elettrico (Arc Flash) e in particolare il calcolo dell’energia incidente, il calcolo della distanza di sicurezza oltre la quale il rischio è trascurabile e la scelta degli idonei dispositivi di protezione individuale (DPI) per la protezione dall’arco elettrico.
Il Rapporto Tecnico si applica, sia agli impianti nuovi che agli impianti esistenti, fino a 72 kV in corrente alternata e 1.500 V in corrente continua, in tutti quei casi in cui un lavoratore qualificato PAV, PES o IDONEO ai sensi della Norma CEI 11-27, esegue un lavoro elettrico esponendosi a parti attive sotto tensione come ad esempio lavori su power center (PCC) e motor control center (MCC), quadri elettrici di potenza in generale, scatola di derivazione, condotti elettrici prefabbricati, batterie per UPS, impianti fotovoltaici, auto elettriche e in e-mobility in generale, trazione elettrica, macchine elettriche come trasformatori e motori, condensatori, ecc...
NOTA Le formule riportate nel presente rapporto non trovano ad oggi riscontro per valori di tensioni superiori a quelle indicate.
[...]
1 Scopo e Campo di applicazione
Questo Rapporto Tecnico si propone di descrivere le metodologie per la valutazione del rischio da arco elettrico (Arc Flash) e in particolare il calcolo dell’energia incidente, il calcolo della distanza di sicurezza oltre la quale il rischio è trascurabile e la scelta degli idonei dispositivi di protezione individuale (DPI) per la protezione dall’arco elettrico.
Il Rapporto Tecnico si applica, sia agli impianti nuovi che agli impianti esistenti, fino a 72 kV in corrente alternata e 1.500 V in corrente continua, in tutti quei casi in cui un lavoratore qualificato PAV, PES o IDONEO ai sensi della Norma CEI 11-27, esegue un lavoro elettrico esponendosi a parti attive sotto tensione come ad esempio lavori su power center (PCC) e motor control center (MCC), quadri elettrici di potenza in generale, scatola di derivazione, condotti elettrici prefabbricati, batterie per UPS, impianti fotovoltaici, auto elettriche e in e-mobility in generale, trazione elettrica, macchine elettriche come trasformatori e motori, condensatori, ecc..
NOTA Le formule riportate nel presente rapporto non trovano ad oggi riscontro per valori di tensioni superiori a quelle indicate.
[...]
3.4
DW-AF
Distanza di lavoro, per i calcoli Arc Flash: Distanza a cui si trova l’operatore misurata in [cm] tra la parte attiva dove si sviluppa l’arco e la testa o il torace dell’operatore. È la distanza alla quale viene calcolata l’energia incidente sull’operatore (Ei).
3.5
Dc o AFB
Dc o Arc Flash Boundary (Distanza Limite d’arco): È la distanza misurata in [cm] dagli elettrodi dove si sviluppa l’arco alla quale l’energia incidente si reduce al valore di 1,2 cal/cm2. Tale valore è considerato il minimo necessario per causare ferite da ustioni.
[...]
5 Valutazione dei rischi
La normativa vigente richiede che per un qualsiasi lavoro svolto in prossimità di un impianto elettrico o in presenza di tensione occorra effettuare una valutazione dei rischi. Nel caso in cui la valutazione del rischio da arco elettrico fosse di difficile attuazione o non venisse eseguita, una possibile soluzione potrebbe essere che tutti i lavori, anche quelli in prossimità, siano effettuati con gli impianti fuori tensione.
La rimozione di barriere di protezione (es.: pannelli, piastre, ecc.) di quadri elettrici e macchine che impediscono l’accesso a parti elettriche in tensione espongono il lavoratore ai pericoli derivanti dall’arco elettrico.
Per quanto concerne il rischio di arco elettrico, la sua valutazione prende in considerazione:
- la tensione del sistema Vn
- la corrente di cortocircuito presunta Ikb‒la distanza di lavoro DW-AF
- il tempo di esposizione ta (tempo di apertura della protezione delle protezioni al cortocircuito o dei sistemi di mitigazione dell'arco)
La valutazione del rischio si traduce pertanto nel calcolo della energia incidente (Ei) dovuta all’Arc Flash e alla quale un lavoratore è potenzialmente esposto effettuando delle attività su apparecchiature in tensione, o in prossimità di esse, e alla Distanza Limite d’arco entro la quale chiunque si trovi, anche se non direttamente coinvolto nell’attività di lavoro, è soggetto al rischio da Arc Flash.
[...]
6 Metodi di Calcolo e Valutazione del Rischio
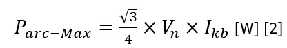
6.1 Calcolo energia incidente in bassa tensione (fino a 1 kV in a.c.) - Metodo semplificato
Il calcolo dell’energia incidente (Ei) e della Distanza Limite d’arco (Arc Flash Boundary) indicata con Dc o AFB, nei sistemi elettrici in bassa tensione in c.a., può essere calcolata attraverso l’utilizzo del metodo semplificato proposto da G. Parise e P.A. Scarpino e pubblicato in IEEE Transactions on Industry Applications, vol. 57, no 5, September/October 2021 “A Basic Assessment of Arc Flash in Low Voltage AC”.
Tale metodo partendo dalle stesse ipotesi e dati di ingresso dello Standard IEEE 1584-2018 (Standard universalmente riconosciuto per la valutazione del rischio da Arc Flash) risulta più semplice da applicare sia nelle equazioni proposte che nelle costanti da gestire e i risultati convergono pressoché agli stessi valori dello St. IEEE 1584-2018 con la stessa categoria di rischio e di DPI.
Il metodo semplificato, parte dall’espressione della potenza d’arco in [W] data dalla relazione [1] e attraverso le ipotesi di Ralph H. LEE, per le quali il massimo trasferimento di potenza, e quindi di energia, si ha quando la tensione d’arco è pari alla metà della tensione nominale del sistema e la corrente d’arco è la metà della corrente di cortocircuito e l’arco è resistivo, si arriva all’espressione [2]:
[...]
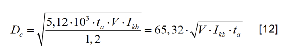
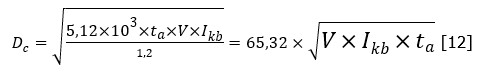
6.2 Metodo di Ralph H. LEE per valori di tensione oltre 1 kV fino a 72 kV in c.a.
Per l’analisi del rischio su sistemi elettrici in media tensione si applica l’espressione [11] di Ralph H. LEE riportata in NFPA-70E (Annex D) con arco in aria e DW-AF espresso in [cm]:
con:
Vn = tensione nominale del sistema elettrico in [kV];
Ikb = corrente di cortocircuito in [kA] nel punto di valutazione;
ta = tempo di apertura in [s] della protezione magnetica istantanea (ANSI 50 o 51.3 oppure I>>>) tipicamente pari a 0,12s o tempo di fusione del fusibile;
DW-AF = Distanza di lavoro ai fini del calcolo Arc Flash in [cm]
Dalla [11] imponendo Ei=1,2 cal/cm2 è possibile ricavare la Distanza Limite d’Arco o Arc Flash Boundary
[...]
7 Distanze di lavoro per il calcolo dell’energia incidente
La Distanza di lavoro per i calcoli Arc Flash DW-AF è la distanza in [cm] a cui si trova l’operatore, misurata tra le parti attive dove si sviluppa l’arco e la testa o il torace dell’operatore (Fig. 7.1)
Figura 7-1 - Distanze di lavoro DW-AF
Essa rappresenta la distanza alla quale viene calcolata l’energia incidente sull’operatore (Ei).
Le distanze DW-AF, ai fini dell’analisi Arc Flash, devono essere imposte da chi effettua l’analisi del rischio.
Nei lavori elettrici sotto tensione o in prossimità di parti attive su apparecchiature e/o macchine dove la corrente di cortocircuito è significativa, e la probabilità di rischio di arco elettrico non è trascurabile, devono essere usati guanti isolanti resistenti all’arco elettrico conformi alla norma CEI EN 61482-1-2. I guanti in lattice potrebbero sciogliersi e attaccarsi alla pelle se investiti da un arco elettrico.
Per i calcoli di energia incidente non viene considerata la distanza tra le parti attive, dove si sviluppa l’arco, e le mani in quanto si presuppone che i lavori sotto tensione o in prossimità di parti attive vengano eseguiti con i guanti isolanti e che l’uso dei guanti isolanti è una condizione ben nota alle persone qualificate, a differenza dell’uso di vestiari che devono soddisfare a certe prestazioni termiche non note fino al calcolo dell’energia incidente.
Inoltre, poiché l’energia incidente è inversamente proporzionale alla distanza al quadrato, se considerassimo la distanza dalle parti attive alle mani avremmo valori di energia estremamente elevati.
A titolo esemplificativo vengono proposte le distanze contenute in NFPA 70E con l’aggiunta della Distanza limite della zona prossima in bassa tensione corrispondente a 30 cm (CEI 11-27) come di seguito riportato.
Poiché la probabilità di avvicinamento con la testa o il torace rispetto alle parti attive a distanze inferiori a 30 cm è improbabile, la distanza di lavoro minima da considerare nei calcoli di Arc Flash è fissata generalmente a 30 cm che corrisponde alla distanza limite della zona prossima di cui alla Norma CEI 11-27.
[...]
Tabella 7-1 - Distanze di Lavoro
[...]
8 Categorie di rischio
Il calcolo dell’energia incidente cui un lavoratore è potenzialmente esposto nell’esecuzione delle attività, determina il livello di protezione necessaria a mitigare il rischio e gli idonei DPI da adottare.
L’esperienza e le casistiche hanno suggerito di raggruppare i possibili valori delle energie incidenti in alcune categorie di rischio utili per la definizione delle categorie e/o Classe dei DPI testati con arco in aria (metodo open arc) o con arco in box (box test) ai fini della protezione dai rischi di arco elettrico.
Per definire la categoria di rischio e dei DPI da utilizzare si fa riferimento alle tabelle di rischio di seguito riportate (1).
(1) Le prestazioni dei DPI secondo il test open arc (ATPV Arc Thermal Performance Value) ai sensi della NFPA 70E e CEI EN IEC 61482-1-1 o secondo il box test con la APC (Arc Protection Class) ai sensi della CEI EN 61482-1-2 devono essere considerate in modo distinto, valutate in procedimenti di test differenti e rappresentativi di condizioni impiantistiche diverse
È utile associare alla tabella di rischio anche un colore dello sfondo dell’etichetta che identifichi immediatamente il grado di protezione da utilizzare come riportato.
È utile associare alla tabella di rischio anche un colore dello sfondo dell’etichetta che identifichi immediatamente il grado di protezione da utilizzare come riportato.
Tabella 8-1 - Categoria di rischio e prestazione dei DPI - ATPV(2)
(2) Potrebbe essere necessario verificare che il valore ELIM, corrispondente al valore ATPV dichiarato, sia superiore al valore di energia incidente calcolata.
[...]
Nella Figura seguente viene proposta un esempio di etichetta e del relativo sfondo in funzione della categoria di rischio:
Figura 8-1 - Esempio di Etichetta
[...]
10 Valutazione del rischio residuo
Una volta messe in atto le azioni per la mitigazione del rischio, si potrà procedere valutando il nuovo livello di rischio residuo con lo stesso metodo esposto nel paragrafo 8, al fine di individuare i nuovi valori dell’energia specifica incidente (Ei) e della Distanza Limite d’arco (Arc Flash Boundary) e scegliere gli idonei DPI la cui prestazione termica sia in grado di contenere gli effetti termici associati all’energia incidente.
11 Scelta dei Dispositivi di Protezione Individuale (DPI)
Gli idonei dispositivi di protezione individuale (DPI) riducono i rischi dovuti all’effetto termico a seguito di archi elettrici e contribuiscono alla protezione del personale. Si noti che non vi è alcun DPI in grado di fornire una protezione totale contro qualsiasi arco elettrico. Piuttosto, è possibile contenere in modo sostanziale e spesso eliminare i pericoli connessi con il verificarsi di un arco elettrico.
Le parti del corpo normalmente più esposte sono gli arti superiori, la testa ed in particolare il viso, ed il corpo.
Nel seguito alcuni esempi di DPI adatti alla protezione termica dall’arco elettrico:
(Completo Giacca e Pantalone per uso quotidiano - CEI EN 61482-2)
(Completo Cappuccio, Giacca e Pantalone per operazioni di sezionamento - CEI EN 61482-2)
[...]
12 Esempi di analisi Arc Flash in c.a.
Gli esempi riportati nella Tabella 12, si riferiscono all’analisi Arc Flash per una tipologia di box 600x600 mm, configurazione degli elettrodi HCB (arco orizzontale in box) e Gap di 32 mm su un sistema alimentato a 400 V in corrente alternata alle varie correnti di cortocircuito.
Tabella 12-1 - Casi tipici di analisi del rischio da Arc Flash in bassa tensione in corrente alternata
[...]
Segue allegato
Certifico Srl - IT | Rev. 0.0 2025
©Copia autorizzata Abbonati
Collegati

ID 7216 | Rev. 9.0 del 02.10.2025 / Allegato Documento completo Riservato Abbonati
Elenco completo (stato) delle norme EN 60079-X e Guid...

ID 18519 | 30.12.2022
Linee guida nazionali per la semplificazione dei procedimenti autorizza...

ID 9990 | 30.01.2020 / Testi consolidati allegati
Decreto Legislativo 1° giugno 2011 n. 93
Attuazione delle direttive 2009/72/CE, 2009/73/...
Testata editoriale iscritta al n. 22/2024 del registro periodici della cancelleria del Tribunale di Perugia in data 19.11.2024