
Rame metallico: pericoloso per l'ambiente acquatico dal 1° Maggio 2026 / Note
ID 26127 | Rev. 1.0 del 01.05.2026 / Note allegate
Il Regolamento delegato (UE) 2024/2564 modifica l'allegato VI (Classificazione ed etichettatura armonizzate di talune sostanze pericolose) del Regolamento (CE) n. 1272/2008 (22° ATP) in applicazione dal 1° Maggio 2026, e introduce la voce relativa alla sostanza "rame" [superficie specifica > 0,67 mm2/mg] classificandola Aquatic Acute 1 / H400 (M = 1) e Aquatic Chronic 1 / H410 (STA = 1), e soppressa la voce corrispondente alla sostanza "rame granulato", in quanto ricompresa in "rame".
Il Comitato per la Valutazione dei Rischi (RAC) dell’ECHA, ha infatti esposto parere in data 1° dicembre 2022 sulla sostanza rame con Area Superficiale Specifica (SSA) > 0,67 mm2/mg.
E' soppressa la voce corrispondente alla sostanza rame granulato (numero della sostanza 029-024-00-X), in quanto rientra nella voce più generica «rame»; [superficie specifica > 0,67 mm2/mg] (numero della sostanza 029-026-00-0), inserita nell’allegato VI del CLP (già Aquatic Chronic 2 e H411).
Il Regolamento delegato (UE) 2024/2564 modifica l'allegato VI del Regolamento (CE) n. 1272/2008, tra cui per il rame:
|
Numero della sostanza
|
Denominazione chimica
|
Numero CE
|
Numero CAS
|
Classificazione
|
Etichettatura
|
Limiti di concentra- zione specifici, fattori M e STA
|
Note
|
|
Codici di classe e di categoria di pericolo
|
Codici di indicazioni di pericolo
|
Pittogrammi, codici di avvertenza
|
Codici di indicazioni di pericolo
|
Codici di indicazioni di pericolo supple- mentari
|
|
029-026-00-0
|
rame; [superficie specifica> 0,67 mm2/mg]
|
231-159-6
|
7440-50-8
|
Aquatic Acute 1 Aquatic Chronic 1
|
H400 H410
|
GHS09 Wng
|
H410
|
|
M = 10 M = 1
|
|

GHS09 - Pericoloso per l'ambiente
__________
Specific Surface Area (SSA)
SSA (Specific Surface Area) è una proprietà fisica dei materiali solidi (specialmente polveri, materiali porosi o granulari) ed è definita come l'area superficiale totale del materiale per unità di massa è quindi l’area superficiale specifica misurata (m²/g).
SSA superiore a 0,67 mm2/mg per il rame, sono in genere particelle piccole (generalmente nanoparticelle o polveri fini), con una superficie esposta molto ampia. Ciò comporta un tasso di dissoluzione più rapido e un rilascio maggiore di ioni Cu2+ nell’acqua. La maggiore concentrazione di ioni Cu2+ aumenta la biodisponibilità e la tossicità per gli organismi acquatici, superando la soglia di classificazione.
Tale parametro quindi è legato alla dimensione delle particelle ed alla superficie esposta determinando di fatto l’inclusione di forme granulari e polverulente di rame in questa nuova classificazione CLP.
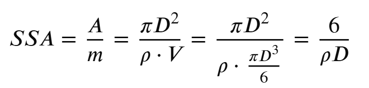
SSA pari a 0,67 mm2/mg per il rame è equivalente all’area superficiale di una sfera di rame di diametro pari a 1 mm, infatti:
l'SSA per una sfera (di rame) è definita come il rapporto tra l'area della superficie (A) e la sua massa (m):

dove D è il diametro della sfera e ρ la densita (rame = 8,96 mg/mm3); SSA in funzione di D è rappresentata dalla curva (iperbole):

Fig. 1 - Relazione (rame) tra diametro D di una sfera e l'Area Superficiale Specifica (SSA)
Per D = 1 mm, SSA è pari a 0,67 mm2/mg (rame).
In sintesi, SSA indica quanta superficie è disponibile per interagire con l'ambiente esterno rispetto al peso del materiale.
SSA considerazioni e valori
L’area superficiale specifica è fortemente influenzata dalla dimensione delle particelle: a parità di materiale, essa aumenta al diminuire delle dimensioni. Riducendo la dimensione delle particelle, infatti, cresce il rapporto tra superficie e volume, rendendo disponibile una porzione sempre maggiore di materiale per le interazioni superficiali.
Questo effetto diventa particolarmente evidente nei materiali finemente suddivisi, come polveri microniche e nanometriche. Oltre alla dimensione, un ruolo determinante è svolto dalla presenza di pori.
Le particelle porose possiedono una superficie interna aggiuntiva che contribuisce in modo significativo all’area superficiale specifica totale. Di conseguenza, materiali apparentemente simili dal punto di vista macroscopico possono presentare valori di area superficiale specifica molto diversi in funzione della loro struttura interna.
I materiali caratterizzati da un’elevata SSA offrono un numero maggiore di punti di contatto tra fase solida e specie chimiche esterne, favorendo così l’interazione con molecole, ioni o gas.
Stima di tossicità acuta (STA)
Le stime di tossicità acuta (STA) sono utilizzate principalmente per determinare la classificazione della tossicità acuta per la salute umana delle miscele contenenti sostanze classificate per la tossicità acuta. L’inclusione dei valori armonizzati delle STA nelle voci elencate nell’allegato VI del Regolamento (CE) n. 1272/2008 agevola l’armonizzazione della classificazione delle miscele ed è di ausilio alle autorità incaricate dell’attuazione.
Implicazioni
Revisioni possibili per Valutazione del Rischio, SDS, miscele con rame / rifiuto, ADR, Seveso.
_________
Regolamento delegato (UE) 2024/2564 della Commissione, del 19 giugno 2024, che modifica il Regolamento (CE) n. 1272/2008 del Parlamento europeo e del Consiglio per quanto riguarda la classificazione e l’etichettatura armonizzate di determinate sostanze (XXII ATP)
C/2024/3992
(GU L 2024/2564 del 30.9.2024)
Entrata in vigore: 20.10.2024
Applicazione dal 1° maggio 2026
...
Si analizza la classificazione del rame (SSA > 0,67 mm2/mg) in miscele relativamente all’indicazione di pericolo H410 Molto tossico per gli organismi acquatici con effetti di lunga durata (Cronico 1), in applicazione di:
1. Regolamento (CE) n.1272/2008 CLP
2. Direttiva 2008/98/CE Rifiuto
3. Merce pericolosa ADR
...

Applicabile: SI
2.2.9.1.10.4.6. Metodo della somma
2.2.9.1.10.4.6.1. Metodo di classificazione
In genere, per le miscele, una classificazione più severa prevale su una classificazione meno severa, ad esempio, una classificazione nella categoria cronica 1 prevale su una classificazione in cronica 2. Di conseguenza, la classificazione è già completata se risulta nella categoria 1. Dal momento che non esiste una classificazione più severa della cronica 1, è inutile spingere oltre il processo di classificazione.
2.2.9.1.10.4.6.2. Classificazione nella categoria acuta 1
2.2.9.1.10.4.6.2.1.
Innanzitutto, si esaminano tutti gli ingredienti classificati nella categoria acuta 1.
Se la somma delle concentrazioni (in %) di detti ingredienti è superiore o uguale al 25%, la miscela è classificata nella categoria acuta 1. Se il calcolo conduce ad una classificazione della miscela nella categoria di tossicità acuta 1, il processo di classificazione è terminato.
2.2.9.1.10.4.6.2.2.
La classificazione delle miscele in funzione della loro tossicità acuta per mezzo del metodo della somma delle concentrazioni degli ingredienti classificati si riassume nella tabella 2.2.9.1.10.4.6.2.2 qui di seguito.
Tabella 2.2.9.1.10.4.6.2.2
Classificazione delle miscele in funzione del loro pericolo acuto attraverso la somma delle concentrazioni degli ingredienti classificati
| Somma delle concentrazioni (in %) degli ingredienti classificati in: |
Miscela classificata in: |
| Acuta 1 x M (a) ≥ 25% |
Acuta 1 |
| (a) Il fattore M è spiegato nel 2.2.9.1.10.4.6.4. |
2.2.9.1.10.4.6.3. Classificazione nella categoria cronica 1 e 2
2.2.9.1.10.4.6.3.1.
Si comincia con l'esaminare tutti gli ingredienti classificati nella categoria cronica 1. Se la somma delle concentrazioni (in %) di detti ingredienti è superiore o uguale al 25%, la miscela è classificata nella categoria cronica 1. Se il calcolo conduce ad una classificazione della miscela nella categoria di tossicità cronica 1, il processo di classificazione è terminato.
2.2.9.1.10.4.6.3.2.
Se la miscela non è classificata nella categoria cronica 1, si prende in considerazione una classificazione nella categoria cronica 2. Una miscela è classificata nella categoria cronica 2, se la somma delle concentrazioni (in %) di detti ingredienti classificati nella categoria cronica 1, moltiplicata per dieci e aggiunta alla somma delle concentrazioni (in %) di detti ingredienti classificati nella categoria cronica 2, è superiore o uguale al 25%. Se il calcolo conduce ad una classificazione della miscela nella categoria di cronica 2, il processo di classificazione è terminato.
2.2.9.1.10.4.6.3.3.
La classificazione delle miscele, in funzione del loro pericolo a lungo termine attraverso la somma delle concentrazioni degli ingredienti classificati, si riassume nella tabella 2.2.9.1.10.4.6.3.3 qui di seguito.
Tabella 2.2.9.1.10.4.6.3.3:
Classificazione delle miscele in funzione del loro pericolo a lungo termine attraverso la somma delle concentrazioni degli ingredienti classificati

...
segue allegato
Certifico Srl - IT | Rev. 1.0 2026
©Copia autorizzata Abbonati
Matrice revisioni
| Rev. |
Data |
Oggetto |
Autore |
| 1.0 |
01.05.2026 |
Classificazione miscele CLP / rifiuto / ADR / Seveso |
Certifico Srl |
| 0.0 |
30.04.2026 |
--- |
Certifico Srl |
Collegati
Allegati
|
Descrizione |
Lingua |
Dimensioni |
Downloads |
|
|
IT |
600 kB |
57 |
|
|
IT |
348 kB |
24 |